心理所研究揭示自我促进及其与幸福感之间关系的遗传基础
人们经常会用一种过于积极的眼光来看待和评价自己,导致这种积极评价倾向的心理动机就是自我促进(self-enhancement)。自我促进有很多表现,有完全主观的“自恋”,即认为自己很了不起、有特权、对于整个世界很重要等;有半主观的“优于平均水平”(存在主观的参照点),即认为自己在很多方面都比同龄人更优秀;有客观的“学识高估偏差”(存在客观的参照点),即夸大自己的知识面,乃至声称自己知道一些完全不存在的事物。以往研究还表明,自我促进与心理幸福感(psychological well-being)存在中等程度的正相关。
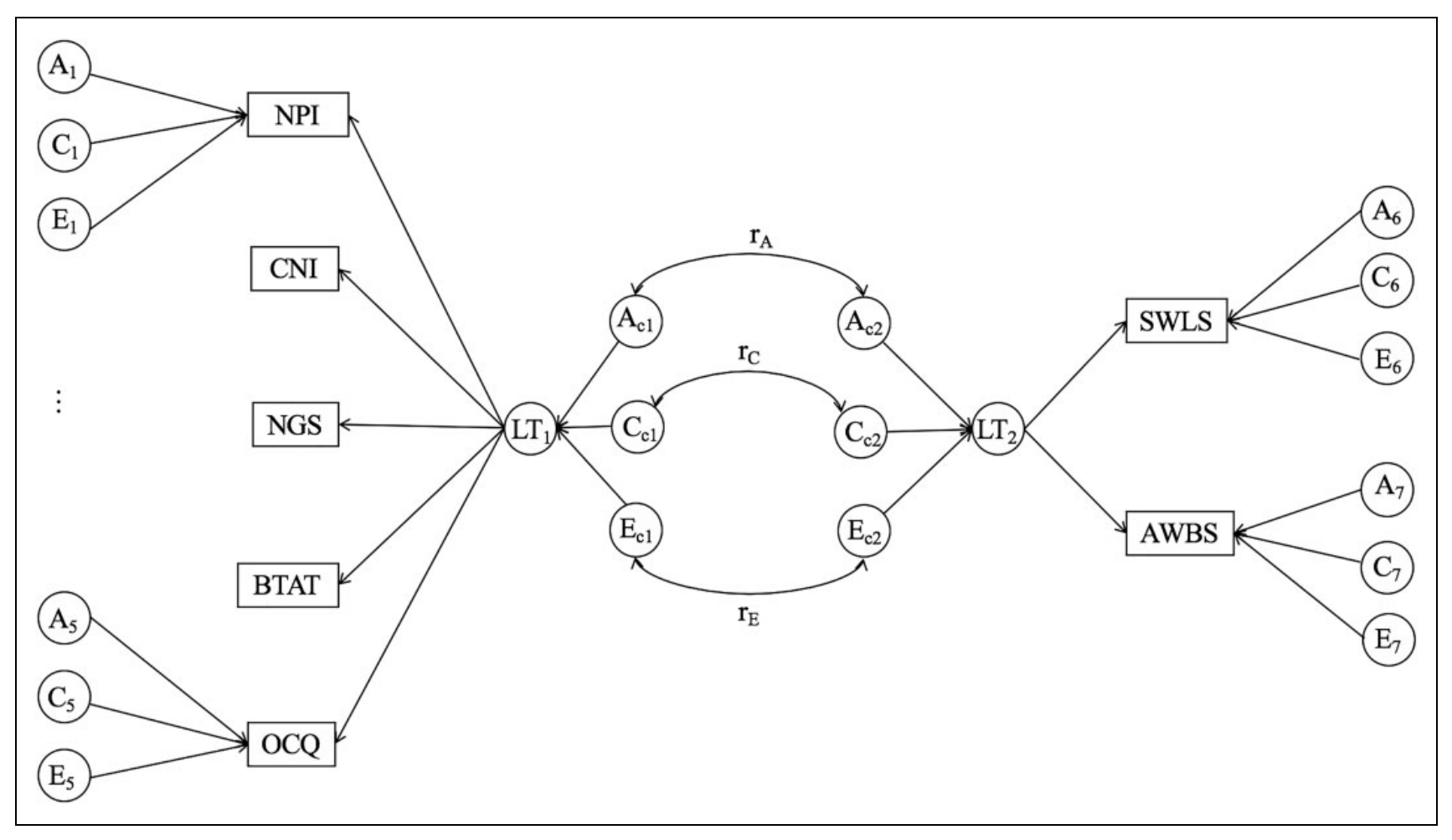
与很多心理特质一样,自我促进也存在个体差异:有的人自命不凡,有的人谦卑恭敬。这种个体差异从何而来呢?以前的研究表明,主观和半主观的自我促进表现都是部分可遗传的。那么,客观的自我促进表现是否可遗传?基因对自我促进的三种表现的影响是相互独立的(independent pathway model,图1),还是通过相似的途径(即先影响某种共有的潜在特质继而再影响三种表现;common pathway model,图2)?为回答这些问题,研究者使用行为遗传学的方法对这两种可能进行检验,并进一步考察了自我促进与心理幸福感的关系是否也具有遗传基础(图3)。

图1 独立路径模型(independent pathway model)

图2 共同路径模型(common pathway model)

图3 自我促进和幸福感的关系模型
研究考察了来自北京的304对双生子(152对同卵、152对异卵),测量这些双生子的两组心理特征:自我促进(包括自恋人格、优于平均水平效应、学识高估偏差)和幸福感(包括生活满意度、情感幸福感)。研究者运用结构方程模型(SEM)进行遗传分析,结果发现:自我促进的主观、半主观、客观表现都是可遗传的;自我促进的不同表现的底层存在一个共同的潜变量结构(图3中的LT1),并且这个潜结构也是可遗传的,基因(A)、共享环境(C)、非共享环境(E)三个因素分别可以解释40%、18%、42%的个体差异;幸福感的不同侧面的底层也存在一个潜在结构(图3中的LT2),A、C、E因素对该底层因素的解释率分别是39%、12%、49%;影响自我促进的遗传物质与影响幸福感的遗传物质之间具有中等程度的相似性(图3中的rA = .32 [.02, .84])。
研究揭示,不同形式的自我促进之间存在相似的心理基础,这个基础可能是一种追求优异感的动机。另外,该研究结果推动了对自我促进与幸福感之间关系的理解,拓展了对自我建构和心理健康之间关系的认识。
该研究受国家社会科学基金(17ZDA324)、国家自然科学基金(31300871、31571148)、中科院心理所行为科学重点实验室(Y5CX052003)等项目资助。论文已在线发表于Social Psychological and Personality Science:
https://journals.sagepub.com/doi/full/10.1177/1948550619877410
论文信息:
Luo, Y. L. L., Sedikides, C., & Cai, H. (2019). On the etiology of self-enhancement and its association with psychological well-being. Social Psychological and Personality Science. Advance online publication. https://doi.org/10.1177/1948550619877410
附件下载: