心理所研究发现精神分裂症患者的P50可能是精神分裂症患者认知障碍的有效生物标志物
执行功能、工作记忆、注意力和记忆方面的认知缺陷似乎是精神分裂症的主要特征。然而,精神分裂症患者认知障碍的病理生理机制尚不清楚。感觉门控可以对无关的感觉信息进行预筛选,在信息被转移到更高阶区域进行更精细的处理之前,可以抑制不相关的刺激以保护认知的完整性。这是大脑的一种适应良好的抑制功能。抑制机制和感觉门控通常通过条件-测试P50范式进行评估,其中成对的“click”刺激以500ms的间隔出现,引起大脑中的正极性反应,该反应发生在刺激开始后约50ms。在精神分裂症患者中反复发现较高的P50门控率,提示重复刺激的抑制机制存在缺陷。然而,在精神分裂症患者中,P50感觉门控和认知功能障碍之间的联系仍然不清楚,在中国人群中对精神分裂症患者进行P50感觉门控与认知功能障碍的研究还比较少。
中国科学院心理健康重点实验室张向阳研究组近期开展的一项研究中,研究者从汕头大学精神卫生中心招募了38名住院精神分裂症患者和32名在性别、年龄和教育程度上与患者匹配的健康对照者。采用可重复神经心理状态评定量表(RBANS)评定认知功能。采用条件-测试P50范式和事件相关电位(ERP)技术记录P50成分。以此来探讨精神分裂症患者P50感觉门控与认知功能障碍的关系。
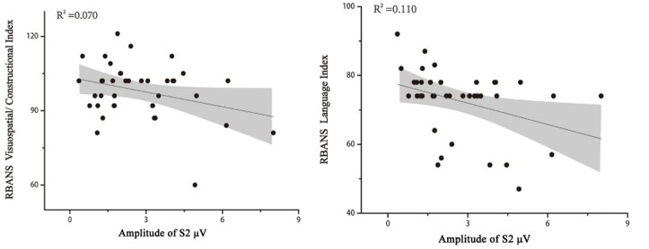
结果表明,与正常对照组相比,精神分裂症患者存在广泛的认知障碍,尤其体现在RBANS总分、语言和注意的分量表得分。精神分裂症患者还存在着P50感觉门控缺陷,与健康对照组相比,慢性精神分裂症患者的P50比值明显升高,S1波幅显著降低,S2波幅显著升高。进一步研究发现,在精神分裂症患者中,S1波幅与注意力和语言相关,S2波幅与视觉空间/结构和语言相关。这些结果没有通过Bonferroni校正。研究结果提示,精神分裂症患者的S1波幅和S2波幅可能与不同的认知领域有关。

图1 精神分裂症患者和健康对照组的模拟波形图。
Click的开始时间为0ms。蓝线为S1波形;粉红线为S2波形。箭头显示P50成分的位置。正极性向下。

图2 S1的振幅与语言(左)和注意(右)之间呈负相关

图3 S2的振幅与视觉空间/构造(左)和语言(右)之间呈负相关
该研究表明,精神分裂症患者的P50不同成分可能与精神分裂症不同认知领域的缺陷有关,P50可能是精神分裂症患者认知障碍的有效生物标志物。
该项研究受国家自然科学基金(81371477)支持。
研究结果已发表于Clinical Neurophysiology: https://doi.org/10.1016/j.clinph.2019.12.405
论文信息:
Luyao Xia, Dongmei Wang, Jiesi Wang, Hang Xu, Lijuan Huo, Yang Tian, Qilong Dai, Shuochi Wei, Wenjia Wang, Guangya Zhang, Xiangdong Du, Qiufang Jia, Xiaomin Zhu, Li Wang, Wei Tang, Xiang Yang Zhang, Association of cognitive and P50 suppression deficits in chronic patients with schizophrenia, Clinical Neurophysiology, DOI: 10.1016/j.clinph.2019.12.405
附件下载: