心理所研究通过手机日志数据探究抑郁与智能手机社交行为的关系
抑郁症是一种常见的精神疾病,据世界卫生组织披露数据显示,全球的抑郁患者已超过3亿人,到2030年抑郁症将成世界第一大负担疾病。抑郁不仅会降低生活质量和工作效率,而且还会增加自杀率等。虽然抑郁症可以通过抗抑郁药、心理疗法等多种方法治疗,但只有不到一半的患者接受了正确治疗。其中一个重要原因是抑郁症诊断的困难。因此,研究更有效的方法识别抑郁症状就显得非常重要。
近年来,智能手机的普及为通讯和人际互动等带来了诸多便利,但它也降低了人们面对面社交的频率。已有研究表明,与面对面社交行为相比,智能手机的社交行为可能影响人们从社会环境中获得的情感支持的效果。尤其是抑郁症患者可能会通过智能手机来摆脱现实生活中的负面情绪,但过度使用智能手机的行为又会进一步导致更多的焦虑、抑郁和睡眠问题等。
已有研究发现,自我报告的智能手机使用情况与客观测量的智能手机使用情况没有显著相关。而基于智能手机的被动感知数据为研究身体、个体差异或心理健康提供了新的视角。中国科学院行为科学重点实验室朱廷劭研究组的科研人员开展了一项研究,通过智能手机收集的日志数据,检验抑郁与智能手机社交行为之间的相关性。
该研究共招募120名日常生活中使用Android手机的用户参与实验,实验时间为1个月。研究者使用自主开发的Android应用程序MobileSens作为数据获取工具,该程序可记录用户在使用手机过程中的日志记录数据。实验结束后,用户需进行流行病学研究中心抑郁量表(CES-D)的测试,并上传手机使用日志数据。
研究者从智能手机使用的日志数据定义了8种传统的通讯行为(打电话、接电话、发送短信、接收短信等)和3种社交应用的使用行为(微信、微博使用频率和所有社交软件的使用总频率)。已有研究表明社交行为是改变个体昼夜节律的一个重要因素,而昼夜节律的变化也与抑郁情绪息息相关。同时,多项研究发现,与其他时段相比,抑郁症患者的抑郁症状在上午更加严重。为了更深入地探究抑郁与智能手机社交行为的关系,研究者分别从全天、上午、下午和晚上四个时间段(全天:0:00-24:00;上午:6:00-12:00; 下午:12:00-18:00;晚上:18:00-6:00)对智能手机社交行为进行分析。研究者根据流行病学研究中心抑郁量表得分(以16分为分界)将被试分为抑郁症状组和非抑郁症状组。
研究分析发现,在传统通讯行为上,抑郁症状组在全天和下午接到联系人电话的频率显著低于非抑郁症状组(F1,116=3.995, P=.048,η2=0.033; F1,116=5.278, P=.02, η2=0.044)。在社交软件使用上,抑郁症状组在全天和晚上使用社交软件的频率显著高于非抑郁症状组(F1,116=6.801, P=.01, η2=0.055; F1,116=6.902, P=.01, η2=0.056)。
表1. 非抑郁症状组与抑郁症状组的智能手机社交行为差异

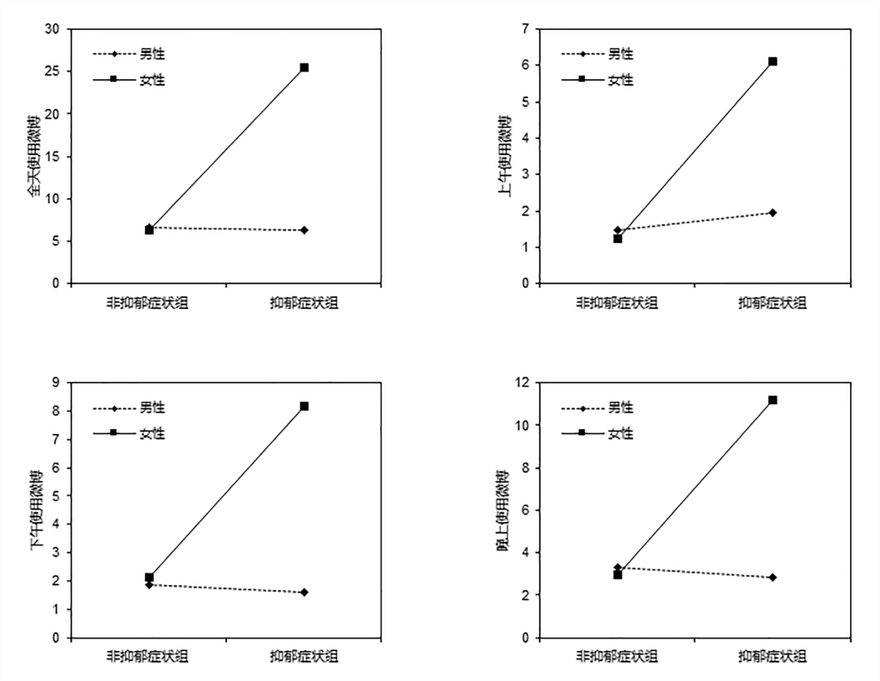
对于微博的使用,结果显示无论在一天中的任何时段,抑郁症状的主效应、性别的主效应,以及抑郁症状与性别的交互效应均呈显著相关。简单效应分析显示,抑郁症状组的女性用户的微博使用频率高于男性(全天:F1,116=11.744,P=.001,η2=0.092; 上午:F1,116=9.105,P=.003,η2=0.073; 下午:F1,116=14.224,P<.001,η2=0.109; 晚上:F1,116=9.052,P=.003,η2=0.072)。

图1 微博使用的交互图
该研究通过手机的日志数据,探究抑郁与智能手机社交行为之间的关系,结果表明非抑郁症状组和抑郁症状组在智能手机社交行为上存在差异,且抑郁症状组的用户在智能手机社交行为上存在性别差异。具体来说,与非抑郁症状组的用户相比,抑郁症状组的用户接到来自联系人的电话更少(全天和下午),使用社交应用程序的频率更高(全天和晚上)。抑郁症状组中女性用户的微博使用频率在各时间段均高于男性(全天、上午、下午、晚上)。该研究增加了人们对抑郁与智能手机社交行为关系的认识,为研究更有效的抑郁识别方法提供基础,也为数据驱动的心理测量方法提供了新的视角。
该研究成果已被国际期刊JMIR Mhealth Uhealth 录用并在线发表:
Wang Y, Ren X, Liu X, Zhu T. Examining the Correlation Between Depression and Social Behavior on Smartphones Through Usage Metadata: Empirical Study. JMIR Mhealth Uhealth 2021;9(1):e19046.
附件下载: