心理所研究揭示传统太极拳的正念成分
正念是一种源于禅修的心理训练方法,具有悠久的历史。这一方法强调对当下有意识的觉知和不带判断的思考。已有研究表明,正念训练能缓解个体负性情绪、降低应激水平,改善心理健康状况。传统观念认为,太极拳中含有明显的正念成分。然而,鲜有研究对太极拳的正念成分进行科学验证。
近日,永乐汇魏高峡副研究员带领团队开展了一项追踪实验研究。该研究发现,8周包含内在感受性提升的太极拳锻炼能显著提高个体正念水平,并且观察到这种正念水平的改善效应在太极拳锻炼结束16周后仍然存在。
研究招募了61名健康成年人被试,分为太极拳组和不参与任何锻炼的对照组。太极拳组被试进行了每周3次,每次1小时,持续8周的简化14式太极拳学习。在干预开始前、结束时以及锻炼结束16周后,通过《五因素正念量表》及《多维度内在感受性量表》测量所有被试的正念及内在感受性水平。
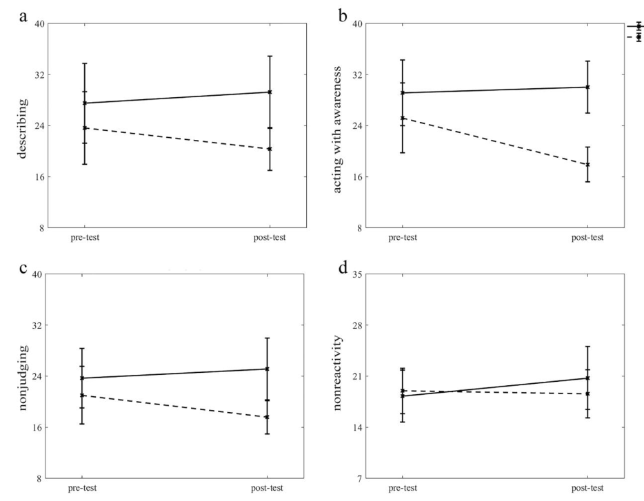
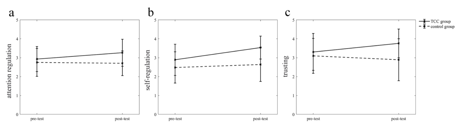
结果发现,太极拳锻炼者的正念水平(包括描述、觉知行动、不判断及不反应)表现出显著提升,且高于对照组被试(图1)。在内在感受性方面,锻炼者与自我调控相关的维度分数(包括注意力调试、自我调试及信任)也表现出显著的提升(图2)。太极拳锻炼可能通过增强个体内在感受性的觉知,提高了其正念水平。此外,追踪研究表明,在锻炼结束16周后,太极拳组被试的正念水平在描述、觉知行动、不判断维度以及内在感受性的信任维度分数上仍显著高于对照组。

图1 八周太极拳锻炼改善锻炼者的正念水平

图2 八周太极拳锻炼改善锻炼者的内在感受性水平
目前,太极拳技术正逐渐被作为一种替代医学的手段应用到临床干预中。该研究关于太极拳和正念关系的探讨,对其在情绪障碍等身心疾病中的应用和推广具有重要的启示意义。
该系列研究受国家自然科学基金 (31671163)和永乐汇自主部署项目的资助。
相关研究论文已发表于Mindfulness:
Chen, L.-Z., Dai, A.-Y., Yao, Y., Si, R., Hu, Z., Ge, L., Du, X., Li, A., & Wei, G.-X. (2021). Effects of 8-Week Tai Chi Chuan Practice on Mindfulness Level. Mindfulness.
https://doi.org/10.1007/s12671-021-01622-8
附件下载: