心理所研究发现多领域综合干预能提升认知障碍高风险老年人的认知功能
随着我国人口老龄化程度的不断加深,老年痴呆的问题越来越困扰着老年人群体。目前尚缺乏治疗老年痴呆的特效药物,且针对认知障碍的非药物干预方法单一。因此,如何维持和促进老年人的认知功能,从而延缓和预防老年痴呆,是我国当前面临的重大挑战。
最近的研究发现,约有35%至55%的痴呆病例可以通过消除潜在可改变的风险因素(如低教育程度、高血压、肥胖、缺乏体育活动、抑郁和社会孤立等)来预防。这些风险因素涵盖认知、饮食健康、体育锻炼、心理状态等多个方面,为认知障碍的多领域干预提供了思路。目前,欧洲已经完成了几项大型的痴呆预防多领域干预研究,但这些多领域干预研究在提高认知能力或减少痴呆发生率方面的效果尚无一致结论。因此,虽然观察性研究提示了多领域干预的潜力,仍然有必要开展更多的干预性研究来证实其有效性。特别值得注意的是,中国目前还没有类似的干预研究报道。
中国科学院心理健康重点实验室老年心理研究中心李娟研究组在北京开展了一项基于社区的多领域干预的群组随机对照试验,旨在改善认知高风险老年人的认知能力。通过和朝阳区疾控中心合作,研究组在北京市朝阳区10个社区筛查出60岁及以上的认知高风险老年人209名,以社区为单位随机分为干预组和对照组,干预组的老年人接受为期9个月包含冥想、认知训练、运动和营养指导的多领域干预(具体干预设计见图1),对照组没有接受任何特殊处理。

图1. 多领域干预方案
研究分别在干预前、干预结束后即刻和1年后(1年随访)通过7项认知测试(简易精神状态检查量表MMSE、蒙特利尔认知量表MoCA、听觉语言学习测验、配对联想学习测验、连线测验、数字广度倒背测验、言语流畅性测验)测量了被试认知能力的改变,并考察了被试主观认知能力(AD8、前瞻回溯记忆量表、记忆控制感量表)、积极和消极情感体验(生活满意度量表、幸福感量表、老化态度、流调中心用抑郁量表CES-D、广泛性焦虑障碍量表GAD-7、UCLA孤独感量表)、身体活动(老年人体力活动量表PASE)和饮食习惯(饮食习惯问卷)的变化。
混合线性模型结果显示,和对照组相比,干预后干预组的认知能力明显增强(图2),情节记忆能力(图2)、主观认知能力、情感体验和生活方式都更好(图3)。这些结果证实了多领域综合干预的有效性。

图2.干预组和对照组在认知能力(7项认知测验的综合,左A)、整体认知(MMSE和MoCA测验的综合,右B)、情节记忆(右C)和执行功能(右D)上随时间的变化。

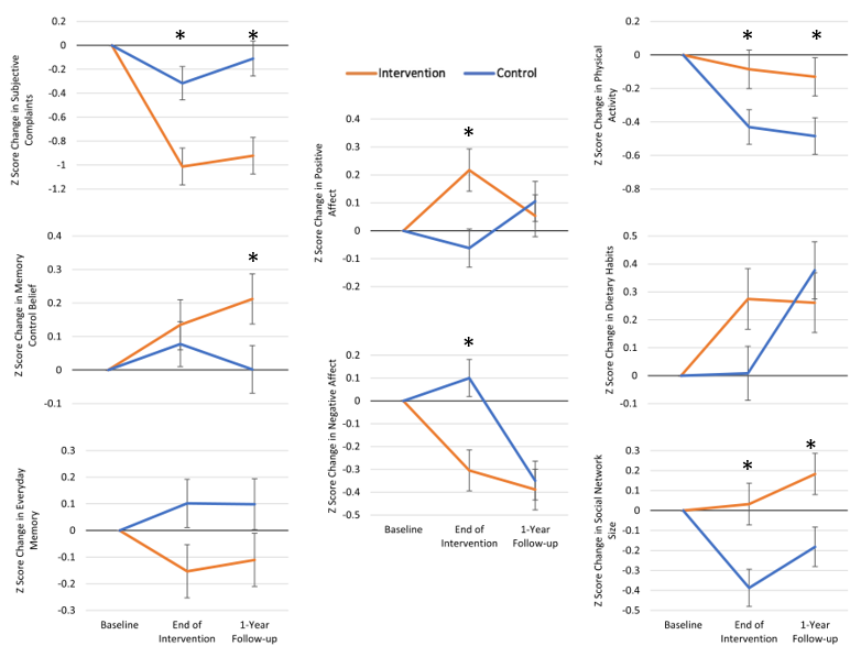
图3.干预组和对照组在主观认知能力(左列)、情感体验(中列)和生活方式因素(右列)上随时间的变化
该研究是我国首个基于城市社区的,旨在预防和延缓认知下降的多领域干预研究,研究不仅发现9个月的干预能够显著提升干预组老年人的认知水平、情感体验以及改善老年人的生活习惯,更为我国未来预防认知障碍的干预实践提供了一套具有科学验证的、系统的多领域干预解决方案。
研究受到国家重点研发计划(2018YFC2000300, 2018YFC2001701, 2020YFC2003000, 2016YFC1305900, 2017YFB1401203)、国家自然科学基金(32071079, 31861133011, 31671157, 31711530157)、中国科学院青年创新促进项目(2020089)、北京市科学技术委员会项目(Z171100008217006, Z171100000117006)及永乐汇科学基金(E2CX3715CX)的支持。
研究成果近期在线发表于The American Journal of Geriatric Psychiatry,由李娟研究组的刘笑梅、马卓娅(共同第一作者)、李娟(通讯作者)及多名研究人员共同完成。
论文信息:
Liu, X., Ma, Z., Zhu, X., Zheng, Z., Li, J., Fu, J., ... & Li, J. (2022). Cognitive benefit of a multidomain intervention for older adults at risk of cognitive decline: a cluster-randomized controlled trial. The American Journal of Geriatric Psychiatry. https://doi.org/10.1016/j.jagp.2022.10.006
附件下载: