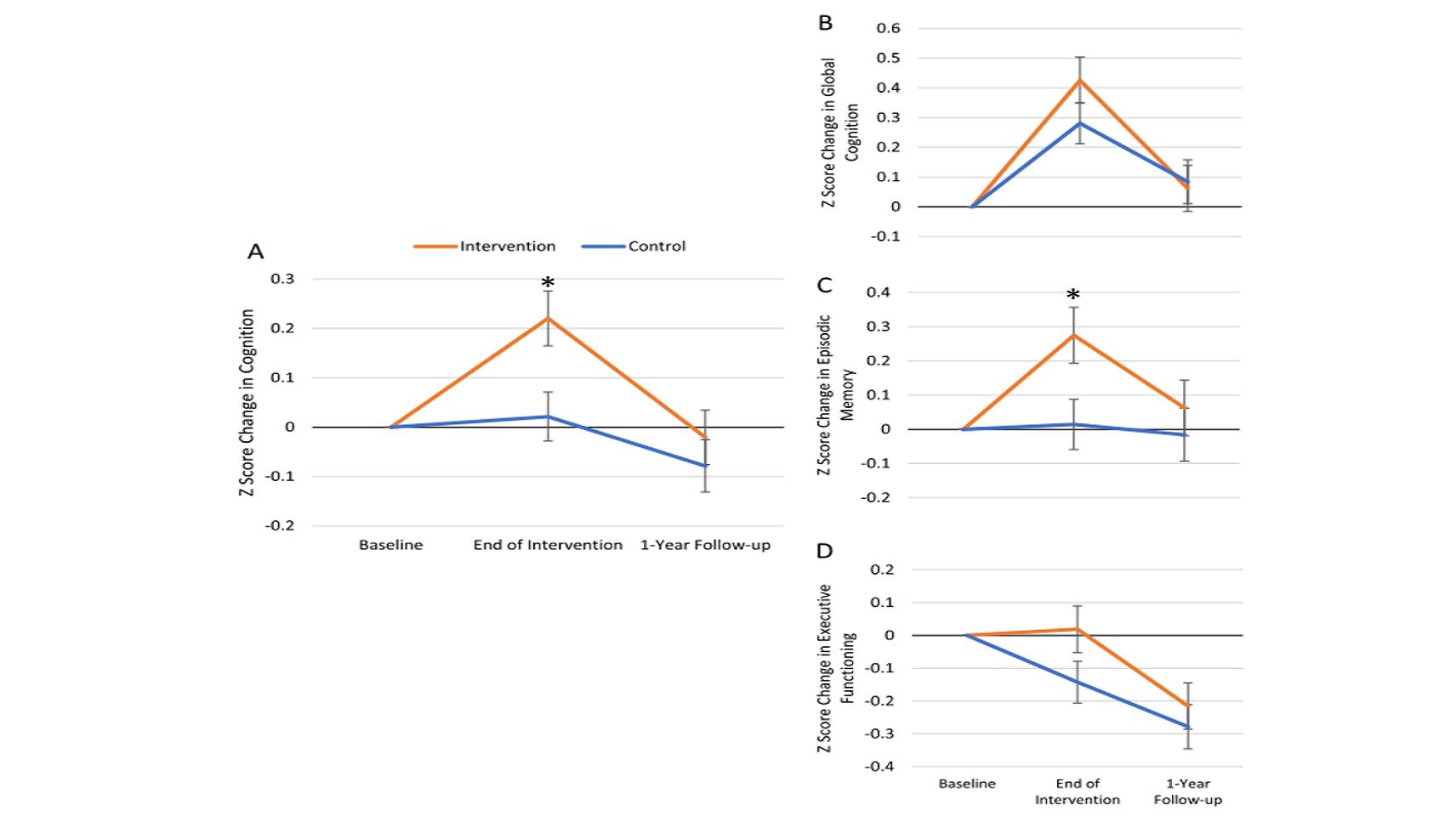
心理所研究发现多领域综合干预能提升认知障碍高风险老年人的认知功能
心理所研究揭示疼痛分辨力稳定且特异的神经指标
心理所开发Think-Aloud fMRI研究范式并刻画静息态自发思维的大脑表征模式
心理所研究揭示蓝斑-齿状回神经通路是促进阿片戒断记忆消退的潜在调控靶点
心理所研究分析交往焦虑的社交网络语言表达特征并进行识别建模
心理所研究探讨衣冠南渡事件对两晋士人的心理影响——社会变迁是怎么影响古人心理的?
心理所研究揭示甲基苯丙胺成瘾患者伴发反社会人格的发生率和相关因素
心理所研究发现储存在工作记忆中的注视线索能诱发社会性注意
心理所研究揭示状态焦虑和特质焦虑具有相同的脑网络拓扑机制
心理所研究发现承诺与代际传递能促进家庭垃圾回收行为